精细化工产品
中唯公司在精细化工领域拥有500余种化合物的开发经验,不断满足客户灵活多变的结构需求。可以为客户提供从小试(克级至公斤级)、中试、规模化生产(百公斤级、吨级)的全套定制服务。并能严格遵照客户保密协议条款,提供合成路线设计、合成、纯度与结构鉴定等服务。可在更短周期内交付目标化合物。
- 1
486-25-9
9-芴酮
9-Fluorenone

- 2
3236-71-3
双酚芴(BPF)
9,9-Bis(4-hydroxyphenyl) fluorene

- 3
88938-12-9
9,9-二(3-甲基-4-羟基苯基)芴(BCF)
Biscresol fluorene

- 4
15499-84-0
9,9-双(4-氨基苯基)芴(BAF)
9,9-Bis(4-aminophenyl) fluorene

- 5
117344-32-8
双醚芴(BPEF)
Bisphen oxyethanol fluorene

- 6
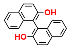
602-09-5
联萘酚(BINOL)
1,1'-Bi-2-naphthol

